Exchange the CEC enclosure I2C interface card assembly

Before you begin

Icon for electrostatic discharge wrist strapUse approved ESD procedures to prevent damage.

Attention:
  • This procedure is not a stand-alone procedure. Customer disruption and damage to the hardware might occur when microcode and power boundaries are not in the proper conditions for this service action.
  • If a serviceable event FRU repair directed you to this procedure, the microcode and power boundaries are already set.
  • If a serviceable event FRU repair did not direct you to this procedure, see MAP1230 Replace a FRU without using a serviceable event.
Notes:
  • All the cables and FRUs to be removed must be uniquely identified so they can be reinstalled correctly.
  • If an installed earthquake resistance kit prevents you from accessing this FRU, refer to MAP1600.

Preparing the CEC enclosure to remove and replace the I2C interface card assembly

About this task

Procedure

  1. Use a replacement part with a valid DS8000® part number to ensure it has the proper firmware, VPD, and/or configuration to ensure it is compatible with the DS8000 service procedures. Attempting to use a generic server FRU might fail and require next level of support to recover.
  2. All parts being removed must be marked or identified so they can be installed into their original locations.
    Note: Failure to do this can extend the service duration and may require next level of support assistance.
  3. The management console keyboard can be moved between the operating and stowed position as needed to allow service clearance above the CEC enclosure.
  4. Use the front and rear blue identify LEDs to determine the CEC enclosure to be repaired. Both blue LEDs should be lit.
    • CEC control panel blue identify LED Callout label B as shown in Figure 1.
    • CEC enclosure rear blue identify LED Callout label 1 as shown in Figure 2.
    Note: If both the front and rear CEC enclosure identify LEDs are not lit, use the location code listed in the serviceable event FRU list. See MAP1245 Finding FRUs by using location codes.
    Figure 1. Control panel LEDs
    Control panel LEDs
    Figure 2. CEC enclosure rear LEDs
    Rear view of the CEC enclosure LEDs
  5. Verify that the CEC enclosure is in the power-off state. See Figure 3
    1. At the rear of the CEC enclosure, view all CEC enclosure power supply DC LEDs.
    2. Are all DC (output) LEDs flashing?
    Figure 3. Location of the power supplies and LEDs (Models 980, 983, 984)
    Location of the power supplies and LEDs (Model 980)
  6. Use the flashing slot identify LED to confirm the location of the adapter to be replaced.
  7. Attach the electrostatic discharge (ESD) wrist strap.
    Attention:
    • Attach an electrostatic discharge (ESD) wrist strap to an unpainted metal surface of your hardware to prevent the electrostatic discharge from damaging your hardware.
    • When using an ESD wrist strap, follow all electrical safety procedures. An ESD wrist strap is used for static control. It does not increase or decrease your risk of receiving electric shock when using or working on electrical equipment.
    • If you do not have an ESD wrist strap, just prior to removing the product from ESD packaging and installing or replacing hardware, touch an unpainted metal surface of the system for a minimum of 5 seconds.
  8. Disconnect the power cords Callout label B from the CEC with the DC (output) LEDs flashing. See Figure 4.
    Notes:
    • Ensure the power cords are correctly labeled.
    • The power supply LEDs might continue to flash for up to 20 seconds while internal power is discharged.
    • The power cord is fastened to the system using the hook-and-loop fastener Callout label A. Unstrap the fastener to allow the enclosure to be placed in the service position.
    Figure 4. Removing the power cords (Models 980, 983, 984)
    Removing the power cords (Model 980)
  9. Observe the CEC enclosure control panel green power button LED Callout label A. See Figure 5.
    • If it is off, go to the next step.
    • If it is flashing, the CEC enclosure is still in the power-off state. DO NOT CONTINUE. Ensure that you have unplugged the power cables.
    Figure 5. Control panel LEDs
    Control panel LEDs
  10. Disconnect all remaining cables from the rear of the CEC enclosure. See Table 1 and Figure 6.
    Table 1. CEC enclosure cable connections
    Connection Description
    P1-T1 (HMC 1) FSP Ethernet
    P1-T2 (HMC 2) FSP Ethernet
    P1-C6-T1, P1-C6-T2 PCIe to I/O enclosures (Model 980, 984)
    P1-C7-T1, P1-C7-T2 PCIe to I/O enclosures (Model 980, 984)
    P1-C7-T1, P1-C7-T2, P1-C7-T3, P1-C7-T4 PCIe to I/O enclosures (2U) (Model 983)
    P1-C8-T1, P1-C8-T2 i2c to RPCs
    P1-C10-T1, P1-C10-T2 LPAR Ethernet
    P1-C10-T3, P1-C10-T4 Customer network (optional feature, if used)
    P1-C11-T1, P1-C11-T2
    P1-C11-T3, P1-C11-T4
    Customer network (optional feature, if used)
    P1-C12-T1, P1-C12-T2 RS485 to RPCs
    Figure 6. CEC enclosure location codes (rear view) (Models 980 and 984)
    CEC enclosure location codes (rear view)
  11. Remove the front cover.
    1. Ensure that you have the electrostatic discharge (ESD) wrist strap attached. If not, attach it now.
    2. Remove the two shipping screws Callout label A (if present) that secure the system to the rack.
    3. Pull the cover away from the system. The cover has an indentation where you can hold onto it more easily.
    Figure 7. Removing the front cover
    Removing the front cover
  12. Place the CEC enclosure into the service position.
    1. Remove the front screws Callout label A (if present) that secure the enclosure to the rack.
      Figure 8. Removing the front screws
      Removing the front screws
    2. Release the side latches Callout label B and pull the latches to slide out the enclosure assembly.
      Figure 9. Releasing the side latches
      Releasing the side latches
  13. Remove the service access cover.
    1. Ensure that you have the electrostatic discharge (ESD) wrist strap attached. If not, attach it now.
    2. Release the latch by pushing the release latch Callout label A in the direction shown.
    3. Slide the cover Callout label B off the system unit. When the front of the service access cover has cleared the upper frame ledge, lift the cover up and off the system unit.
      Attention: For proper cooling and airflow, replace the cover before turning on the system.
    Figure 10. Removing the service access cover
    Removing the service access cover
  14. Attach the electrostatic discharge (ESD) wrist strap. Your system has an ESD pin on the backplane as shown in Figure 11. Attach the ESD wrist strap to the ESD pin.
    Attention:
    • Attach an electrostatic discharge (ESD) wrist strap to an unpainted metal surface of your hardware to prevent the electrostatic discharge from damaging your hardware.
    • When using an ESD wrist strap, follow all electrical safety procedures. An ESD wrist strap is used for static control. It does not increase or decrease your risk of receiving electric shock when using or working on electrical equipment.
    • If you do not have an ESD wrist strap, just prior to removing the product from ESD packaging and installing or replacing hardware, touch an unpainted metal surface of the system for a minimum of 5 seconds.
    Figure 11. Location of the ESD pin
    Location of the ESD pin
  15. Remove the control panel. Press the terracotta tab and then slide the control panel straight out of the slot.
    Figure 12. Removing the control panel
    Removing the control panel
  16. Remove the Slimline media device (DVD), if present.
    1. Press the retaining tab Callout label A toward the system until the Slimline media device is unseated from the media bay. See Figure 13.
    2. Pull the Slimline media device Callout label C away from the system, in the direction shown.
    Figure 13. Removing the Slimline media device
    Removing the Slimline media device
  17. Unplug but do not remove the disk drives from their slots. Pull the drives out far enough to prevent them from interfering with the removal of the disk drive backplane.
    1. Unlock the drive handle Callout label B by pressing the handle latch Callout label A and pulling it out toward you, as shown in Figure 14. If the handle is not all the way out, the drive cannot slide out of the system.
    2. Support the bottom of the drive as you slide it out of the system. Hold the drive by its sides.
    Figure 14. Removing a disk drive
    Removing a disk drive

Removing the CEC enclosure I2C interface card assembly

About this task

To remove the CEC enclosure I2C interface card assembly, complete the following steps:

Procedure

  1. Ensure that you have the electrostatic discharge (ESD) wrist strap attached. If not, attach it now.
  2. Remove the fan cage.
    1. Release the blue touch point latches Callout label A by pulling them up, as shown in Figure 15. This action unseats the fan cage.
    2. Pull up the fan cage out of the system by holding on to the blue touch point latches Callout label A.
    Figure 15. Removing the fan cage
    Removing the fan cage
  3. Label the front SAS cables, paying attention to the connectors each cable attaches to on the disk drive backplane and the SAS RAID internal adapter. Disconnect the front SAS cables from the disk drive backplane by pressing the latch Callout label A and unplugging the cable as shown in Figure 16.
    Figure 16. Disconnecting the front SAS cables
    Disconnecting the front SAS cables
  4. Unseat the front SAS cables from the cable guide on the side of the system chassis. See Figure 17.
    Figure 17. Unseating the SAS cables
    Unseating the SAS cables
  5. Label, disconnect, and remove the signal, and control panel cables Callout label A, and the power Y cable Callout label B, from the disk drive backplane and system backplane. See Figure 18.
    Figure 18. Removing the power, signal, and control panel cables
    Removing the power, signal, and control panel cables
  6. Carefully unscrew the disk drive backplane's captive thumbscrews Callout label A until fully loose as shown in step 8.
  7. Tilt the disk drive backplane in the direction that is shown and then slide it to the side so that the disk drive backplane cutouts clear the tabs in the chassis.
  8. Remove the disk drive backplane.
    Figure 19. Removing the disk drive backplane
    Removing the disk drive backplane
  9. Pull the I2C cable Callout label A out from the cable channel on the side of the system. See Figure 20.
    Figure 20. Pulling the I2C cable out from the cable channel
    Pulling the I2C cable out from the cable channel
  10. Disconnect the I2C cable from the I2C connector at the right front area of the CEC enclosure. Pull the cable toward the I2C interface card at the rear center of the enclosure.
  11. To set the adapter latch Callout label A at the target slot into the open position, rotate the latch Callout label A on the rear of the system, in the direction shown in Figure 21.
  12. Carefully grasp the adapter Callout label B by its top edge or tailstock, and remove the adapter from the slot, as shown in Figure 21.
    Attention: A pin on the tailstock of the adapter resembles a removable screw. Do not remove this pin. It is required for correct alignment and seating.
    Figure 21. Removing a PCIe adapter from a rack-mounted system
    Removing a PCIe adapter from a rack-mounted system
  13. Place the removed adapter and cable assembly on an approved ESD surface.

Replacing the CEC enclosure I2C interface card assembly

About this task

To replace the CEC enclosure I2C interface card assembly, complete the following steps:

Procedure

  1. Ensure that you have the electrostatic discharge (ESD) wrist strap attached. If not, attach it now.
  2. If necessary, remove the adapter from the antistatic package.
    Attention: Avoid touching the components and gold connectors on the adapter.
  3. Place the adapter, component-side up, on a flat, antistatic surface.
    Attention: A pin on the tailstock of the adapter resembles a removable screw. Do not remove this pin. It is required for correct alignment and seating.
  4. Route the I2C cable to the right front area of the CEC enclosure, using the same method as the cable you removed. Connect the cable to the CEC enclosure I2C connector.
    Note: It might be necessary to disconnect the I2C cable from the interface card to route the cable. Reconnect to the interface card once you are ready to install the card.
  5. If the adapter latch Callout label B at the target slot is not already in the open position, pull the latch into the open position by rotating the latch outwards from its clip on the back of the system, as shown in Figure 22.
  6. Carefully grasp the adapter by its top edge or tailstock, and align the adapter with the slot and its connector on the system backplane, as shown in Figure 22.
  7. On the system, press the adapter firmly into its connector.
  8. To lock the adapter in its slot, rotate the adapter latch Callout label B in the direction that is shown in Figure 22.
    Note: The adapter does not connect to the PCIe bus slot. The adapter latch secures it in the slot location.
    Figure 22. Installing or replacing a PCIe adapter in a rack-mounted system
    Installing or replacing a PCIe adapter in a rack-mounted system
  9. Push the front I2C cable Callout label A into the cable channel as shown in Figure 23.
    Figure 23. Installing the front I2C cable in the cable channel
    Installing the front I2C cable in the cable channel
  10. Complete the disk drive backplane installation.
    1. Using the ledge at the top of the disk drive backplane and facing towards the front of the system, replace the backplane by tilting it towards the rear and lowering it down into the chassis.
    2. Align the backplane cutouts with the tabs in the chassis to insert it into the system.
    3. Shift the backplane slightly to the left to secure it in place, as is shown in Figure 24.
    4. Carefully tighten each of the disk drive backplane's captive thumbscrews Callout label A until each one is secured to the system's chassis.
    Figure 24. Replacing the disk drive backplane
    Replacing the disk drive backplane
  11. Reconnect the signal and control panel cables Callout label A, and the power Y cable Callout label B to the disk drive backplane and the system backplane as shown in Figure 25.
    Figure 25. Reconnecting the power, signal, and control panel cables
    Reconnecting the power, signal, and control panel cables
  12. Reseat the front SAS cables into the guide block on the side of the chassis as shown in Figure 26.
    Figure 26. Reseating the front SAS cables
    Reseating the front SAS cables
  13. Reconnect the front SAS cables to the disk drive backplane as is shown in Figure 61. Push the connector in until the connector latch clicks.
    Figure 27. Reconnecting the front SAS cables
    Reconnecting the front SAS cables
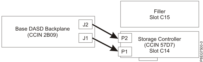
    Note: With one PCIe3 x8 SAS RAID internal adapter (CCIN 57D7) in slot P1-C14 (base-storage feature), one SAS cable connects the lower disk drive backplane connector (J1) to the P1 connector on the adapter. A SAS cable connects the upper disk drive backplane connector (J2) to the P2 connector on the same adapter. See Figure 62.
    Figure 28. Reconnecting the SAS cable in a base-storage configuration
    Reconnecting the SAS cable in a base-storage configuration
  14. Replace the fan cage with the fans installed.
    1. Ensure that there are no cables obstructing the fan cage installation area.
      Important: Failure to ensure that the cables are tucked out of the way can damage the cables.
    2. Lower the fan cage into the system by holding on to the blue touch point latches Callout label A, as shown in Figure 63.
    3. Push down on the fan cage to seat in the system.
    4. Rotate the latches Callout label A as shown in Figure 63, to lock the fan cage in place.
    Figure 29. Replacing the fan cage in a rack-mounted system
    Replacing the fan cage in a rack-mounted system

Preparing the CEC enclosure for operation after removing and replacing the I2C interface card assembly

About this task

To prepare the system for operation, complete the following steps:

Procedure

  1. Ensure that you have the electrostatic discharge (ESD) wrist strap attached. If not, attach it now.
  2. Replace the service access cover.
    1. Slide the cover Callout label B on to the system unit.
    2. Close the latch release Callout label A by pushing it in the direction shown.
    Figure 30. Installing the service access cover
    Installing the service access cover
  3. Ensure that you have the electrostatic discharge (ESD) wrist strap attached. If not, attach it now.
  4. Reseat the disk drives into their slots.
    1. Unlock the drive bay handle Callout label A by pressing it and pulling it out toward you. If the handle is not all the way out, the drive does not slide into the system. See Figure 65.
    2. Hold the drive by the top and bottom edges as you position the drive, and insert it into the drive slot.
    3. Slide the drive all the way into the system, and push the drive bay handle Callout label A in until it locks, as shown in Figure 65.
      Important: Ensure that the drive is fully seated and is all the way into the system.
    Figure 31. Replacing a disk drive
    Replacing a disk drive
  5. Replace the Slimline media device (DVD) (if one was removed).
    1. Align the Slimline media device Callout label C with the media bay, and support the bottom of the device as you slide it halfway into the system. See Figure 66.
    2. Push the Slimline media device fully into the system until the device locks in place.
    Figure 32. Replacing a Slimline media device
    Replacing a Slimline media device
  6. Replace the control panel.
    1. Align the control panel with the control panel slot.
    2. Slide the control panel into the slot, and press on the terracotta tab to lock it in place.
    Figure 33. Replacing the control panel
    Replacing the control panel
  7. Place the CEC enclosure into the operating position.
    1. Ensure that you have the electrostatic discharge (ESD) wrist strap attached. If not, attach it now.
    2. Unlock the blue rail safety latches Callout label A by lifting them upward.
    3. Push the system unit Callout label B back into the rack until both system unit release latches lock into position.
    4. Secure the enclosure to the rack with screws, if screws were removed when preparing the enclosure for service.
    Figure 34. Placing the CEC enclosure into the operating position
    Placing the CEC enclosure into the operating position
  8. Replace the front cover.
    1. Slide the cover onto the system.
    2. Close the release latches by pushing in the direction shown in Figure 69. The cover snaps into place and has an indentation where you can hold onto it more easily.
    3. Replace the shipping screws Callout label A.
    Figure 35. Installing the front cover
    Installing the front cover
  9. Attach the electrostatic discharge (ESD) wrist strap.
  10. Reconnect all cables, except for power cords. See Table 2 and Figure 36.
    If optical Ethernet connections are used, use proper cleaning procedures.
    Important: The optical cable plugs (LC connectors) and ports (SFPs) must be cleaned before connecting them. Use cleaning tool 54Y4392 or IBM-approved alternative. After cleaning SFPs with the tool, use air bulb 45D2645 or IBM-approved alternative. For detailed procedures, refer to current DS8000 Info Alerts or contact your next level of support.
    Table 2. CEC enclosure cable connections
    Connection Description
    P1-T1 (HMC 1) FSP Ethernet
    P1-T2 (HMC 2) FSP Ethernet
    P1-C6-T1, P1-C6-T2 PCIe to I/O enclosures (Model 980, 984)
    P1-C7-T1, P1-C7-T2 PCIe to I/O enclosures (Model 980, 984)
    P1-C7-T1, P1-C7-T2, P1-C7-T3, P1-C7-T4 PCIe to I/O enclosures (2U) (Model 983)
    P1-C8-T1, P1-C8-T2 i2c to RPCs
    P1-C10-T1, P1-C10-T2 LPAR Ethernet
    P1-C10-T3, P1-C10-T4 Customer network (optional feature, if used)
    P1-C11-T1, P1-C11-T2
    P1-C11-T3, P1-C11-T4
    Customer network (optional feature, if used)
    P1-C12-T1, P1-C12-T2 RS485 to RPCs
    Figure 36. CEC enclosure location codes (rear view) (Models 980 and 984)
    CEC enclosure location codes (rear view)
  11. Reconnect the power cords Callout label A to the CEC enclosure. See Figure 37.
  12. Fasten the power cords to the enclosure using the hook-and-loop fasteners Callout label B.
    Figure 37. Connecting the power cords
    Connecting the power cords
  13. Verify that the CEC enclosure has power available. See Figure 73.
    1. At the rear of the CEC enclosure, view the CEC enclosure power supply DC LEDs.
    2. Are all DC (output) LEDs flashing?
      • Yes, continue with the next step.
      • No, ensure the power cords are properly connected. If no connection problem is found, contact your next level of support.
    Figure 38. Location of the power supplies and LEDs (Models 980, 983, 984)
    Location of the power supplies and LEDs (Model 980)
  14. Wait up to 5 minutes for the CEC enclosure control panel power button LED Callout label A to flash. See Figure 74.
    Note: This ensures the CEC enclosure is in the power-off state.

    Is the power button LED flashing?

    • Yes, go to the next step.
    • No, ensure the CEC enclosure power supplies are fully seated. The possible failing FRUs are the CEC enclosure system backplane, I2C interface card and cables, and control panel. You can also call the next level of support.
    Figure 39. Control panel LEDs
    Control panel LEDs
  15. Close the rear door of the rack.
  16. Exit this service information center parts exchange procedure and return to the procedure that sent you here.